- 技术文章
关于光学斩波器占空比的数字控制:数字技术与实验应用
2024-12-27 16:59:07 来源:北京卓立汉光仪器有限公司
摘要
光学斩波器的斩波片通常以50%的占空比调制光束。这篇文章主要讨论的是:可以通过层叠两个相同的斩波片或使用特殊斩波片来实现<50%的占空比,所用的斩波片既有固定占空比设计也有可变占空比设计。单驱动电机情况下,重新调整斩波片的占空比都需要关停斩波器。而改变占空比*灵活的方法是同步两个SR542精密光学斩波器。这使得占空比可以连续从0%到50%进行数字调节,并且可以实现远程、自动化测试。
改变占空比的意义:
大多数光学斩波器的斩波片制造是为了产生具有 50% 占空比的光学波形:在光学周期内, 斩波片的“通光”、“阻挡”交替进行从而阻挡了50%的光束。然而,某些实验的待测样品对输入光的光功率较为敏感(例如非线性效应、光漂白、热效应等对样品产生的破坏)参考文献【1-4】。在其他情况下,您可能需要为时间分辨或泵浦探测成像对激发脉冲进行门控【5,6】。对于这些实验,能够轻松调节斩波片的占空比是很有意义的。
图1: O54256 5/6双槽叶片以50%占空比调制光束: Ton = Toff .
有几种方法可以改变光学斩波的占空比:
-
定制“通光”和“阻挡”槽位具有不同宽度的斩波片。
-
将两个50%占空比的斩波片层叠安装在同一个电机上,通过调节叶片相对的位错实现调节占空比
-
使用可变占空比的斩波片。
-
同步两个光学斩波器,并调整其中一个叶片相对于另一个叶片的相位。
(注:如果您只需要一个固定的占空比,例如10%,选择或定制一个通光宽度10%阻挡宽度90%的斩波片就足够了。如果您希望设计定制斩波片,我们在SR542 操作手册中提供了设计指南。)
层叠斩波片
实现可调占空比的*简单方法可能是层叠两个相同的斩波片,并将它们安装在同一个斩波器的电机上,两个叶片之间有一个旋转偏移量。该偏移减小了有效通光孔径的宽度,即占空比。如果要更改占空比,必须停止电机,松开安装螺钉,并旋转从属叶片。由于是纯手调,精确实现所需的占空比可能比较困难。
图 2:通过将第二叶片(显示为透明蓝色)层叠在*一叶片上实现25%的占空因子,第二叶片相对旋转量为15°。原始50%的占空比用红色虚线表示。
可变占空比斩波片
我们提供的 SR542 可以选配可变占空比的斩波片(型号0542DF )。这种特殊制作斩波片提供的孔径占空比为 10%至 90%,步长为10%。负载因子通过选择叶片上的位置来选择。通过选择光束的位置来选择占空比。因此,改变占空比就需要重新对准光束到不同的位置。
图3: O542DF可变占空比斩波片。根据光束照射在斩波片半径的位置,可以将占空比设为n*(10%)(其中n=1、2、3...9)。注意光斑必须足够小以免溢出到下一档位
同步两台斩波器
控制占空比*灵活的方法是先同步两个SR542光学斩波器到等相位。然后可以精密调整第二斩波器与*一斩波器的相位差,则可实现高精度的占空比控制。这实际上与图2层叠在单个电机上的两个斩波片产生的效果是相同,不同的是可以在不停止斩波片旋转的情况下,快速且精密的调节占空比。设备具体接驳方式见图4. 下面我们在示波器的辅助下展示完整的斩波器同步流程:
使用示波器进行相位对齐
首先,将两个斩波头放在光路中,光束通过所需的斩波片孔径。具体而言,我们假设在两个斩波头上都安装标准5/6双槽斩波片(O54256 ),并对准斩波片的外侧孔径。我们设置斩波器1为主斩波器,其参考频率为内置时钟(操作设置如下)。
例如:
Source = Internal Freq
Multiplier = ×1
Control = Outer
Int Freq = 165 Hz
操作设置斩波器2为从斩波器,其时钟参考频率取主斩波器1的同步输出,也就是Source = Ext Sync。在后面板上,将斩波器1的Source Out连接到斩波器2的Ext Sync Input ,如图4所示。这使得斩波器1成为主时钟。为了显示斩波波形,将斩波器1的Outer Slots Reference Output连接到示波器通道1,将斩波器2的Outer Slots Reference Output连接到通道2。 将光电探测器的输出端连接到示波器的通道4上。打开两个斩波器电机,通过按下
按钮,打开两个斩波器的电机 。将示波器的触发设置为通道1,并适当调整时间基准,在显示屏上可以看到几个周期的信号。许多示波器都具备占空比测量功能。对于光电二极管采集的信号,使用这个功能可能很有帮助。您可能会看到类似于图5a中的波形。请注意以下特征:
-
相位差12为两个斩波器1和2的参考信号之间的相位差。
-
相位差s为斩波器1和光电探测器信号之间的相位差
-
光电探测器信号的占空比小于50% (Ton/Toff < 0.5)。
相位差12是两个斩波片的相位差。相移s 是被测信号的相位差。参考输出由位于每个斩波器电机底座上的光电探头产生(如图4所示的6点钟位置),而被斩波的信号光束路径则通过其他地方(例如,11点钟位置)。
通过监测光电探测器的信号,调整斩波器2的相位
,我们可以恢复斩波器1和2的*全同步,即50%的占空比波形,如图5b所示。我们把这种配置称为相位对齐2。一旦两个斩波器相位对齐,我们就可以按下 斩波器2的
按钮。这将打开
指示灯,并显示当前相位设置为0°。之后的设置都将以这个Rel点为参考。现在我们可以通过斩波器2的相位设置实现数字控制占空比,这可以通过前面板旋钮、键盘或USB远程接口轻松实现。这个功能可以实现电控优化信号强度或者占空比扫描。且无需停止电机来调整层叠的叶片相位差,也不必重新对准光路。(在每次相位调整后,斩波器2需要一点时间来稳定并重新获得“Chopper Locked”状态。对于较小的相位调整,所需时间非常短,通常是小于1秒)。
注意,当您通过+ 或 调整斩波器2的相位为0 时,占空比将将小于*大值50%。占空比D = Ton /Toff 计算如下:
1可以通过调整斩波器1的相位来实现,因为两个电机都被斩波器1的内部源时钟控制,并且相位设定点Phase相对于该内部参考。
2然而,“相位对齐”并不一定等同于参考输出信号的边缘重合。只有当两个电机的光电传感器与光斑之间的角度距离*全相同时,才会是这种情况。下面将对此进行讨论。
图4: .使用示波器对两个SR542光学斩波器进行同步和相位对准的示意图。斩波器1做为主时钟,因此其Source Output与斩波器2的Ext Sync Input相连。两个斩波器的Outer Slots Reference Output以及来自光电探测器的双斩波光束信号均连接到示波器上。
其中,φ°是斩波器2的相位设定值(相对于我们上面通过相位对齐程序设置的“0”)。
由于两个斩波片的占空比设计都为50%,因此使用这种方法不可能实现占空比大于50%的光脉冲。对于占空比为D1和D2的两个斩波片,该方法的*大可实现占空比小于D1和D2,*小可实现占空比为D1 + D21(如果结果为负,则为0)。
值得提及的是,与单斩波实验架构相比,双斩波光束并没有增加额外的相位抖动。对于占空比小于50%,一个斩波器负责控制光束导通(光电探测器输出的上升沿),而另一个控制光束关断(下降沿)。因此,双斩波架构的相位抖动近似于每个斩波器分别产生的相位抖动的平均值。
随着占空比的减小,如果光束尺寸大于有效孔径宽度,则有效光束强度也会减小。因此,在解释作为占空比函数获得的数据时应该小心,因占空比过小(时常是无意中的过度调节)导致有效波束尺寸变化可能产生的影响。
在图5b的代表性波形中,您可能已经注意到,当双斩波光束达到50%占空比时,斩波器1和斩波器2的参考输出之间的边缘重合。因此,双斩波光束大致是参考输出的逻辑与门“AND”。然而,只有当光束在*全相同的位置(例如11点钟方向)穿过每个斩波器的叶片,并且光中断的位置在每个电机上相同时,才会出现这种情况3。因此,光电探测器信号本身是实现调整双斩波占空比唯*直接和可靠的方法。
如果光电探测器输出的信噪比(SNR)很差,那么您可能无法直接在示波器上检测到完好的矩形波形,更不用说测量其占空比了。在这种情况下,执行相位对齐过程需要使用增加锁相放大器进行微弱信号处理。
使用锁相放大器的相位对齐的流程
为了建立两个斩波器之间的相位对齐,我们首先需要记录一个单斩波50%占空比波束的基线锁定信号。需要从斩波器1的Source Output到斩波器2的Ext Sync Input的连接保持不变(如图4所示)。
3 对于高槽数叶片,电机底座上的光中断器的横向和垂直位移将使参考输出信号产生更大的相移。
(b) 相位对齐波形
图 5: 模拟光束通过两个斩波器的示波器示意图。(a)在相位对齐之前,斩波器1和斩波器2的信号之间存在相位差φ12 ,光电探测器信号占空比(Ton /Toff )很可能为小于50%。(b)在相位对齐之后,光电探测器输出波形有50%的占空比。光探测器信号的相位差φs仍然存在。
将斩波器1的Outer Slots Reference Output连接到锁相放大器的参考输入,并将锁相放大器的Reference to External and Pos TTL连接光电探测器输出端4,并根据您的信号设置灵敏度、时间常数、输入范围、输入耦合和滤波器滚降斜率。一旦斩波器1的电机已经启动并指示“斩波器锁定”,锁相放大器也应该指示斩波频率下的参考锁定。
4或者,您可以使用锁相放大器作为主时钟基准,将其参考输出提供给两个斩波器的Ext Sync Inputs 。而且,提供斩波器1的Slots Reference Output给锁相放大器是有作用的,因为锁相放大器自己的锁相环可以跟踪实际的叶片运动。
此时,有必要将斩波器2设置为 Shutter Mode5。这样您就可以使用其 Phase 设置来调整斩波器叶片的静态位置。在监测锁相放大器上的信号幅度R的同时,调整斩波器2的相位,直到信号达到*大值。斩波器2已处于“beam pass.”的状态。记录信号的幅度(和相位θ),因为这代表了一束占空比为50%的单次斩波。
打开斩波器2。通常情况下,信号幅度R将减小,相对于参考信号的相位θ也会发生位移。调整斩波器2的相位,直到恢复了原始信号的幅度和相位。此时,斩波器已经是相位对齐的:已经恢复50%占空比的波形。按下斩波器2上的
按钮以“归零”当前相位,并启用相对于此零点的相位调整。现在可以通过斩波器2的相位调节并使用方程(1)来计算占空比。锁相放大器信号分析
我们有必要研究锁相放大器信号对占空比的依赖性。我们可以用以下方式描述双斩波器光路的时域矩形波形。
x(t) = A for 0 ≤ (t mod T) < DT (2)
= 0 otherwise
其中T为信号周期,DT = Ton为处于“高”或“ON”状态所需的时间,因此D表示占空比(0≤D < 1)。见图7。
这个信号可以用以下形式的傅里叶级数来表示:
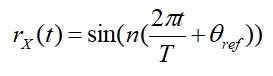
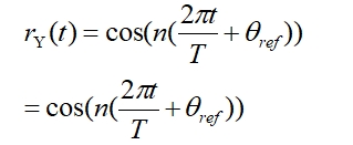
为了进行比较,在一个锁相放大器中,X和Y通道的参考振荡器被定义为:
图 6:使用锁相放大器实现微弱信号下两个SR542光斩波器的同步和相位对齐。

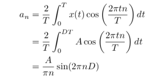
图 7: 一个峰峰值幅度为A、占空比为D、周期为T的矩形波形。这样,方程式(3)的an将对应于Y通道的输出,而bn将对应于X通道的输出。
方程式(3)的计算DC term的方法如下:
系数an 的计算方法如下:
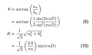
使用an和bn,我们可以计算一个已给定的谐波、占空比以及峰峰值的信号对应的振幅和相位(锁相放大器的R和θ输出)
其中,的因子来自于锁相放大器的RMS计算。对于 0≤D < 0.5的计算结果如图8所示,其中自变量2为斩波器2的相位,用于调整占空比。
图 8:R(将其归一化为方波峰峰值振幅A,并包括因数1/√2用于计算RMS值)和θ vs. 2(斩波器2相位)和占空比,锁相放大器谐波n = 1。
在D=为0.5的情况下,矩形波形峰峰值振幅与锁相放大器之间的测量简单地用
在这种情况下,只有n=1,3,5,7…是非零的(即常见的方波只包含奇次谐波)
作为一个简单的经验法则,当测量50%占空比的方波的一次谐波(基次谐波)时,锁相放大器测量的振幅R≈0.45×峰间振幅a。
结论
通过同步两个SR542光学斩波器,可以实现斩波光束的占空比的精确数字控制。与其他占空比控制方法相比,这大大简化了占空比的设置和占空比的扫描。特别是,通过使用SR542的远程USB接口和一个简单的数据收集回路,使得涉及可变占空比的自动化设置与检测成为可能。
在斩波器2的相位可以作为占空比的调整因子之前,两个斩波器的相位对齐环节需要手动操作。这个过程很简单。即使斩波光束作用于光电探测器产生的信号太弱,无法在示波器上直接显示完*波形,通过锁相放大器处理探测器的输出,两个斩波器的同步和相位对齐也是可以完成的。
该技术可以用于SR542的任意一种斩波片,以用于优化您的实验的光束尺寸和理想的斩波频率。
参考文献
[1] Nag, A., De, A. K., and Goswami, D. Two-photon cross-section measurements using an optical chop- per: z-scan and two-photon fluorescence schemes.Journal of Physics B: Atomic, Molecular and Optical Physics 42, 065103 (2009).
[2] Mansourzadeh, S., Vogel, T., Shalaby, M., et al. Milli- watt average power, MHz-repetition rate, broadband THz generation in organic crystal BNA with diamond substrate. Opt. Express 29, 38946–38957 (2021).
[3] Gnoli, A., Razzari, L., and Righini, M. Z-scan measurements using high repetition rate lasers: how to manage thermal effects. Opt. Express 13, 7976– 7981 (2005).
[4] Abidin, M. S. Z., Noor, A. S. M., Rashid, S. A., et al. Frequency and duty cycle modulation optimization in minimizing thermal accumulation effect in Z- scan measurement with high-repetition-rate laser. Japanese Journal of Applied Physics 53, 112702 (2014).
[5] Wang, S., Wendt, A. E., Boffard, J. B., et al. Time- resolved spectroscopy using a chopper wheel as a
fast shutter. Review of Scientific Instruments 86, 013111 (2015).
[6] Yang, W. and Chen, S.-L. Time-gated fluorescence imaging: Advances in technology and biological applications. Journal of Innovative Optical Health Sciences 13, 2030006 (2020).
-
扫一扫,手机浏览




























