- 技术文章
OmniFluo990稳态瞬态荧光光谱仪:具有匹配带隙和功函数的p–n结促进高效可见光催化析氢
2024-08-20 11:46:22 来源:北京卓立汉光仪器有限公司
近日,湖北工业大学理学院(芯片产业学院)程正旺等提出了一种基于匹配带隙和功函数的p-n异质结,不仅促进了可见光吸收,还*大地提高了光生载流子的分离与迁移效率,实现了高效、稳定的PEC可见光析氢。今天小编为大家分享该研究成果,希望对您的科学研究或工业生产带来一些灵感和启发。
应用方向:清洁能源,光电催化,分解水制氢,异质结
正文:
光电催化分解水制氢(H2)为解决能源消耗与环境污染问题提供了重要的解决方案,在实现我国“双碳”战略目标方面具有重要意义。然而,受限于单一催化剂有限的光吸收能力和光生电子-空穴对的复合,导致可见光条件下的光电催化效率并不理想。因此,如何设计和合成高效、稳定的分解水光电催化剂成为领域内的核心课题。
针对上述科学问题,湖北工业大学理学院(芯片产业学院)程正旺等提出了一种基于匹配带隙和功函数的p-n异质结,不仅促进了可见光吸收,还*大地提高了光生载流子的分离与迁移效率,实现了高效、稳定的PEC可见光析氢。该工作以“Construction of nanorod-shaped TiO2/Cu3N p–n heterojunction for efficient visible-light hydrogen evolution”为题发表在国际期刊Journal of Materials Chemistry C上。
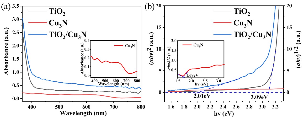
程正旺等采用磁控溅射法,将p型Cu3N薄膜沉积到一维 n型TiO2纳米阵列上,形成了TiO2/Cu3N p-n异质结。得益于合适的能隙和内建电场的协同作用,形成的TiO2/Cu3N p-n异质结不仅将带隙从TiO2的3.09 eV减小到TiO2/Cu3N的2.01 eV,光响应范围也从从紫外区扩展到可见光区域。此外,光生电子-空穴对的分离和转移效率明显改善,平均载流子寿命延长了3倍。进一步地,在> 420 nm可见光照射和-0.97 V vs. RHE(可逆氢电极)条件下,光电流密度从TiO2的-0.33 mA/cm2提高到TiO2/Cu3N的-4.66 mA/cm2,提高了约14.12倍。此外,构建的TiO2/Cu3N异质结表现出稳定的PEC析氢性能,相应的可见光分解水产氢速率达到6.98 mol/cm2/h。以上结果表明:构建具有合适带隙和功函数的p-n异质结是提高TiO2光电催化性能的一种有效途径,并且有望应用于其他光电催化剂。本项研究为设计和制备高效、低成本、无毒的PEC分解水电极和其他光电子化学应用提供了一条有效的途径。
图1. 样品制备流程示意图。
图2. TiO2/Cu3N样品的X射线衍射图谱(XRD)。
图3. TiO2 (a),Cu3N (b)和TiO2/Cu3N的莫特-肖特基曲线(MS);TiO2/Cu3N界面的TEM图像;理论计算的平面平均电势,(e) TiO2(101),(f) Cu3N(110)。
图4. 直接带隙TiO2、TiO2/Cu3N ((αhν)2~hν)和间接带隙Cu3N ((αhν)1/2~hν)的紫外-可见漫反射光谱(DRS) (a)和相应的Tauc图(b)。
图5. (a) 稳态光致荧光(PL)光谱,(b) 时间分辨PL (TRPL)光谱。
图6. (a) TiO2、Cu3N及TiO2/Cu3N的表面光电压谱(SPV);(b) 在-0.97 V vs. RHE和> 420 nm光照射条件下,TiO2、Cu3N及TiO2/Cu3N的光电流密度-电压曲线;(c) 电化学阻抗Nyquist图。
图7. (a) TiO2/Cu3N在> 420 nm可见光照射下PEC产氢H2的循环稳定性。(b)本研究中TiO2/Cu3N的平均产氢速率与报道的TiO2基异质结结果的比较。
图8. > 420 nm可见光照射下,TiO2/Cu3N p-n异质结的光生载流子迁移与光电催化分解水析氢机理图。
关于此文章的更多细节请查看原文链接:
https://doi.org/10.1039/D4TC00916A
配置推荐
本文中TiO2及TiO2/Cu3N发光测试使用卓立汉光公司的OmniFluo990稳态瞬态荧光光谱仪完成。OmniFluo990为模块化搭建结构,通过搭配不同的光源、检测器和各类附件,为紫外/可见/近红外发光测试提供综合解决方案,也为光电催化分解水制氢催化剂的研发提供有利工具。
免责声明
北京卓立汉光仪器有限公司公众号所发布内容(含图片)来源于原作者提供或原文授权转载。文章版权、数据及所述观点归原作者原出处所有,北京卓立汉光仪器有限公司发布及转载目的在于传递更多信息及用于网络分享。
如果您认为本文存在侵权之处,请与我们联系,会*一时间及时处理。我们力求数据严谨准确, 如有任何疑问,敬请读者不吝赐教。我们也热忱欢迎您投稿并发。
扫一扫,手机浏览




















